Ответы
Ответ дал:
0
Ответ:
Пошаговое объяснение:
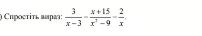
Приложения:

Вас заинтересует
1 год назад
1 год назад
1 год назад
1 год назад
3 года назад