• Предмет: Алгебра
  • Автор: panda186082
  • Вопрос задан 2 года назад

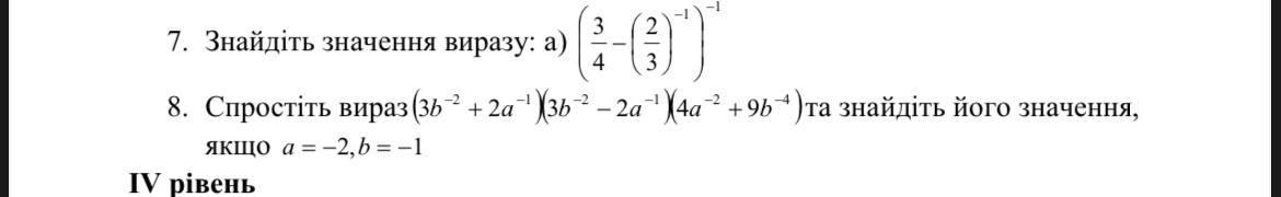
7/8, даю багато балів (можна без пояснення)

Приложения:

Ответы

Ответ дал: nazarkidimenko
0

Ответ:

7. -4/3

Объяснение:

не знаю як зробити восьме

Вас заинтересует