• Предмет: Алгебра
  • Автор: КотУчёныйМяу
  • Вопрос задан 10 лет назад

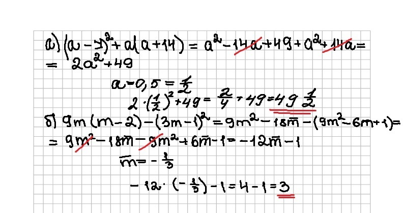
Упростите выражение и найдите его значение:
а) 
(a - 7)^{2} + a(a + 14)  при a = 0,5
б) 9m(m - 2) - (3m - 1) ^{2} при m =  -frac{1}{3}

Ответы

Ответ дал: leralins
0
ИСПРАВИЛА! (не прошло и трех лет :D)
Приложения:
Ответ дал: КотУчёныйМяу
0
Спасибо большое за помощь! ;)
Вас заинтересует