• Предмет: Алгебра
  • Автор: mrsquid58
  • Вопрос задан 2 года назад

Помогите решить примеры на лимиты и производную, если можно то с пошаговым описанием действий

Приложения:

Ответы

Ответ дал: natalyabryukhova
1

Ответ:

\displaystyle \bf      \lim_{x \to 0} \frac{(e^{6x}-1)\cdot tg3x}{sin3x\cdot ln(1+2x)}=3

\displaystyle \bf     y'=\frac{5ln^47x\cdot arctg7x^4}{x} +\frac{28x^3\cdot ln^57x}{1+49x^8}

\displaystyle \bf     dy=\frac{cos(e^{x^2}+3x-2)\cdot (2xe^{x^2}+3)}{sin(e^{x^2}+3x-2)\cdot ln2}dx

Объяснение:

Вычислить предел:

\displaystyle \bf      \lim_{x \to 0} \frac{(e^{6x}-1)\cdot tg3x}{sin3x\cdot ln(1+2x)}

Подставим 0:

\displaystyle      \lim_{x \to 0} \frac{(e^{6x}-1)\cdot tg3x}{sin3x\cdot ln(1+2x)}=\frac{(e^0-1)\cdot0}{0\cdot ln(1+0)} =\frac{0}{0}

Получили неопределенность 0/0.

Воспользуемся правилом Лопиталя. Найдем производную числителя и знаменателя:

\displaystyle      \lim_{x \to 0} \frac{(e^{6x}-1)\cdot tg3x}{sin3x\cdot ln(1+2x)}=\\\\=\lim_{x \to 0}\frac{e^{6x}\cdot(6x)'\cdot tg3x+(e^{6x}-1)\cdot\frac{(3x)'}{cos^23x} }{cos3x\cdot(3x)'\cdot ln(1+2x)+sin3x\cdot \frac{(1+2x)'}{1+2x} } =\\\\=\lim_{x \to 0}\frac{6e^{6x}\cdot tg3x+\frac{3e^{6x}-3}{cos^23x} }{3cos3x\cdot ln(1+2x)+\frac{2sin3x}{1+2x} }

Если мы подставим 0, то получим опять неопределенность 0/0.

Воспользуемся еще раз правилом Лопиталя.

Сначала найдем отдельно производную числителя:

\displaystyle        \left(6e^{6x}\cdot tg3x+\frac{3e^{6x}-3}{cos^23x}\right)' =\\\\=6e^{6x}\cdot(6x)'\cdot tg3x+6e^{6x}\cdot\frac{(3x)'}{cos^23x} +\frac{3e^{6x}\cdot(6x)'\cdot cos^23x-(3e^{6x}-3)\cdot 2cos3x\cdot (cos3x)'}{cos^43x} =\\\\=36e^{6x}\cdot tg3x+\frac{18e^{6x}}{cos^23x} +\frac{18e^{6x}\cos^23x-(3e^{6x}-3)\cdot2cos3x\cdot(-3sin3x)}{cos^43x} =\\\\=36e^{6x}\cdot tg3x+\frac{18e^{6x}}{cos^23x} +\frac{18e^{6x}\cos^23x+(3e^{6x}-3)\cdot3sin6x}{cos^43x}

Найдем производную знаменателя:

\displaystyle        \left(3cos3x\cdot ln(1+2x)+\frac{2sin3x}{1+2x}\right)'=\\ \\=-3\cdot 3sin3x\cdot ln(1+2x)+3cos3x\cdot\frac{2}{1+2x} +\frac{2\cdot 3cos3x\cdot(1+2x)-2sin3x\cdot2}{(1+2x)^2} =\\\\=-9sin3x\cdot ln(1+2x)+\frac{6cos3x}{1+2x} +\frac{6cos3x\cdot(1+2x)-4sin3x}{(1+2x)^2}

Запишем полученный предел:

\displaystyle         \lim_{x \to 0} \;\frac{36e^{6x}\cdot tg3x+\frac{18e^{6x}}{cos^23x} +\frac{18e^{6x}\cos^23x+(3e^{6x}-3)\cdot3sin6x}{cos^43x}}{-9sin3x\cdot ln(1+2x)+\frac{6cos3x}{1+2x} +\frac{6cos3x\cdot(1+2x)-4sin3x}{(1+2x)^2}}=\\\\=\frac{0+18+\frac{18+0}{1} }{0+\frac{6}{1} +\frac{6-0}{1} } =\frac{36}{12}=3

1.

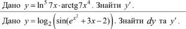
Вычислить производную:

\displaystyle        \bf   y=ln^57x\cdot arctg7x^4

\displaystyle        y'=5ln^47x\cdot (ln7x)'\cdot arctg7x^4+ln^57x\cdot \frac{(7x^4)'}{1+49x^8} \\\\=5ln^47x\cdot \frac{(7x)'}{7x} \cdot arctg7x^4+ln^57x\cdot \frac{28x^3}{1+49x^8} =\\\\=\frac{5ln^47x\cdot arctg7x^4}{x} +\frac{28x^3\cdot ln^57x}{1+49x^8}

2. Найти dy:

\displaystyle        \bf  y=log_2(sin(e^{x^2}+3x-2))

dy=y'dx

\displaystyle        y'=\frac{(sin(e^{x^2}+3x-2))'}{sin(e^{x^2}+3x-2)\cdot ln2} =\\\\=\frac{cos(e^{x^2}+3x-2)\cdot (e^{x^2}+3x-2)'}{sin(e^{x^2}+3x-2)\cdot ln2}=\\\\=\frac{cos(e^{x^2}+3x-2)\cdot (e^{x^2}\cdot(x^2)'+3)}{sin(e^{x^2}+3x-2)\cdot ln2}=\\\\=\frac{cos(e^{x^2}+3x-2)\cdot (2xe^{x^2}+3)}{sin(e^{x^2}+3x-2)\cdot ln2}

\displaystyle \bf     dy=\frac{cos(e^{x^2}+3x-2)\cdot (2xe^{x^2}+3)}{sin(e^{x^2}+3x-2)\cdot ln2}dx

Формулы производных сложных функций см. в приложении.

#SPJ1

Приложения:
Вас заинтересует