• Предмет: Математика
  • Автор: svistuntana812
  • Вопрос задан 2 года назад

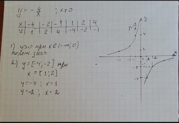
??????????????????????????????????????????

Приложения:

tamarabernukho: Г)

Ответы

Ответ дал: maksimipatov473
2

Ответ:

7

Пошаговое объяснение:

Приложения:
Вас заинтересует