• Предмет: Алгебра
  • Автор: yuliasidorenko2826
  • Вопрос задан 2 года назад

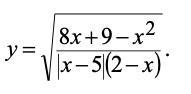
Знайти область визначення функції

Приложения:

Ответы

Ответ дал: natalyabryukhova
1

Ответ:

D(y) = [-1; 2) ∪ [9; +∞)

Объяснение:

Найти область определения функции:

\displaystyle \bf     y=\sqrt{\frac{8x+9-x^2}{|x-5|(20-x)} }

Надо знать:

  • Подкоренное выражение неотрицательно.
  • На ноль делить нельзя.

1.

|x - 5|(2 - x) ≠ 0

х ≠ 5;     х ≠ 2

2.

\displaystyle   \frac{8x+9-x^2}{|x-5|(2-x)} \geq 0

Решим методом интервалов.

Сначала найдем корни уравнения:

\displaystyle   8x+9-x^2=0\\\\x^2-8x-9=0\\\\D=64+36=100;\;\;\;\;\;\sqrt{D}=10\\ \\x_1=\frac{8+10}{2} ;\;\;\;\;\;x_2=\frac{8-10}{2}=-1

Отметим эти точки на числовой оси, не забываем про точки, в которых функция не определена. Найдем знаки на промежутках.

Для этого берем любое значение х на промежутке, подставляем в функцию и смотрим, положительное или отрицательное она примет.

---[-1]+++(2)---(5)---[9]+++

Так как у нас знак ≥, то выбираем промежутки со знаком "+".

D(y) = [-1; 2) ∪ [9; +∞)

Вас заинтересует