• Предмет: Алгебра
  • Автор: goncharenkoeva35
  • Вопрос задан 2 года назад

помогите пожалуйста ​

Приложения:

Ответы

Ответ дал: darinakarataeva053
0

Ответ:

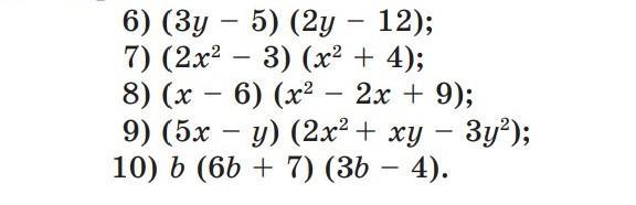
6)=6y²-36y-10y+60=6y²-46y+60

7)=2x⁴+8x²-3x²-12=2x⁴+5x²-12

8)=x³-2x²+9x-6x²+12x-54=x³-8x²+21x-54

9)10x³+5x²y-15xy²-2x²y-xy²+3y³=10x³3x²y-16xy²+3y³

10) =18b³-3b²-28b=b(18b²-3b-28)

Вас заинтересует