• Предмет: Математика
  • Автор: ktitarevatanya
  • Вопрос задан 2 года назад

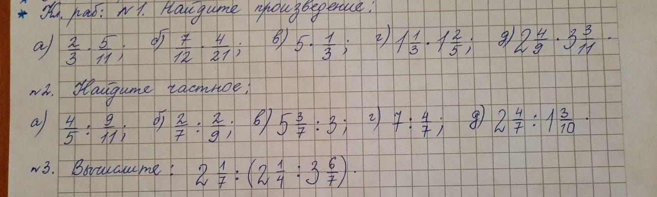
Помогите пожалуйста! Очень надо.

Приложения:

Ответа на этот вопрос пока нет. Попробуйте найти его через форму поиска.

Вас заинтересует