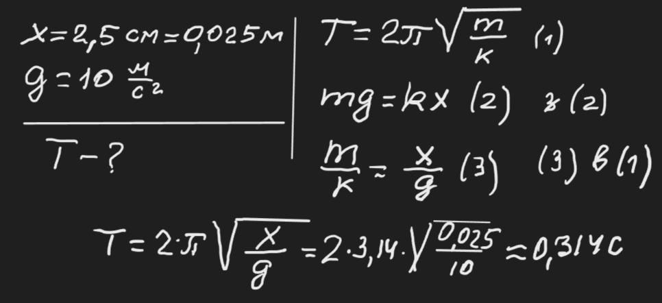
Тягарець, підвішений до пружини, у стані спокою розтягує її на 2,5 см. Визначити період коливань пружинного маятника.
Ответы
Ответ дал:
1
Відповідь: ≈0,314 с
Пояснення:
Приложения:

dasaforostana96:
здравствуйте, помогите пожалуйста с физикой, последние задание в моем профиле. буду безумно благодарна вам за помощь!
Вас заинтересует
1 год назад
1 год назад
3 года назад
8 лет назад