• Предмет: Алгебра
  • Автор: pu76396
  • Вопрос задан 2 года назад

Допоможіть будь ласка !

Спростіть вираз:
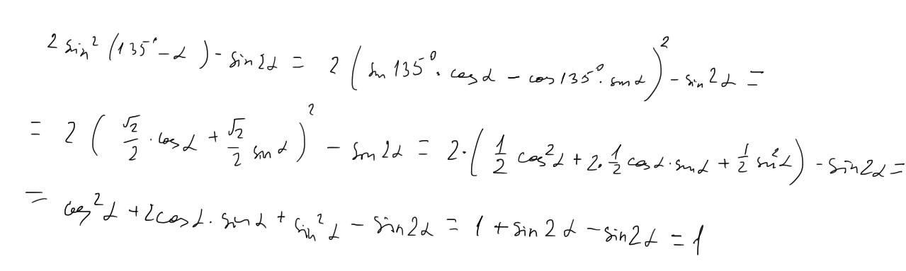
2 sin ^{2} (135 ^{ o}  -  \alpha ) -  \sin2 \alpha

Ответы

Ответ дал: Warlock1
0

Ответ:

ну вроде так

Объяснение:

Приложения:
Вас заинтересует