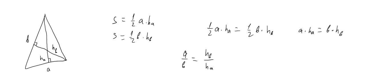
В треугольнике высоты ,проведенные к сторонам а и б ,равны ha и hb. Докажите,что a:b= hb:ha
Помогите пожалуйста.
Ответы
Ответ дал:
1
Ответ:
типа того
Объяснение:
Приложения:

Вас заинтересует
1 год назад
1 год назад
1 год назад
1 год назад
3 года назад
3 года назад
8 лет назад