• Предмет: Алгебра
  • Автор: kroma702
  • Вопрос задан 2 года назад

.Розкладіть на множники: с2 - с4

Ответы

Ответ дал: yashabaskakov
0

Ответ:2(с-2с)

Объяснение:ось

Ответ дал: kladkomikita413
1

Ответ:

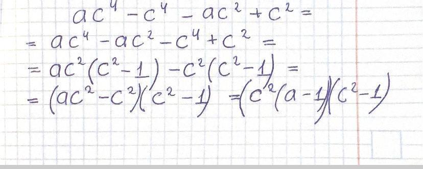
Писал в школе штото похожое.

Объяснение:

ac-c" - ac² + c² =

ac" -ac²-c" +С² = 2

= ac² (c²-1) - c² (c²-1) = = (ac² - c² X c² -1) { c²(a- 4 (c²-1)

Приложения:

kladkomikita413: Ураааааааааааааааааааа
Вас заинтересует