• Предмет: Математика
  • Автор: Laras030033
  • Вопрос задан 2 года назад

обчислити:

дуже терміново допоможіть будь ласка ​

Приложения:

Ответы

Ответ дал: parus77
0

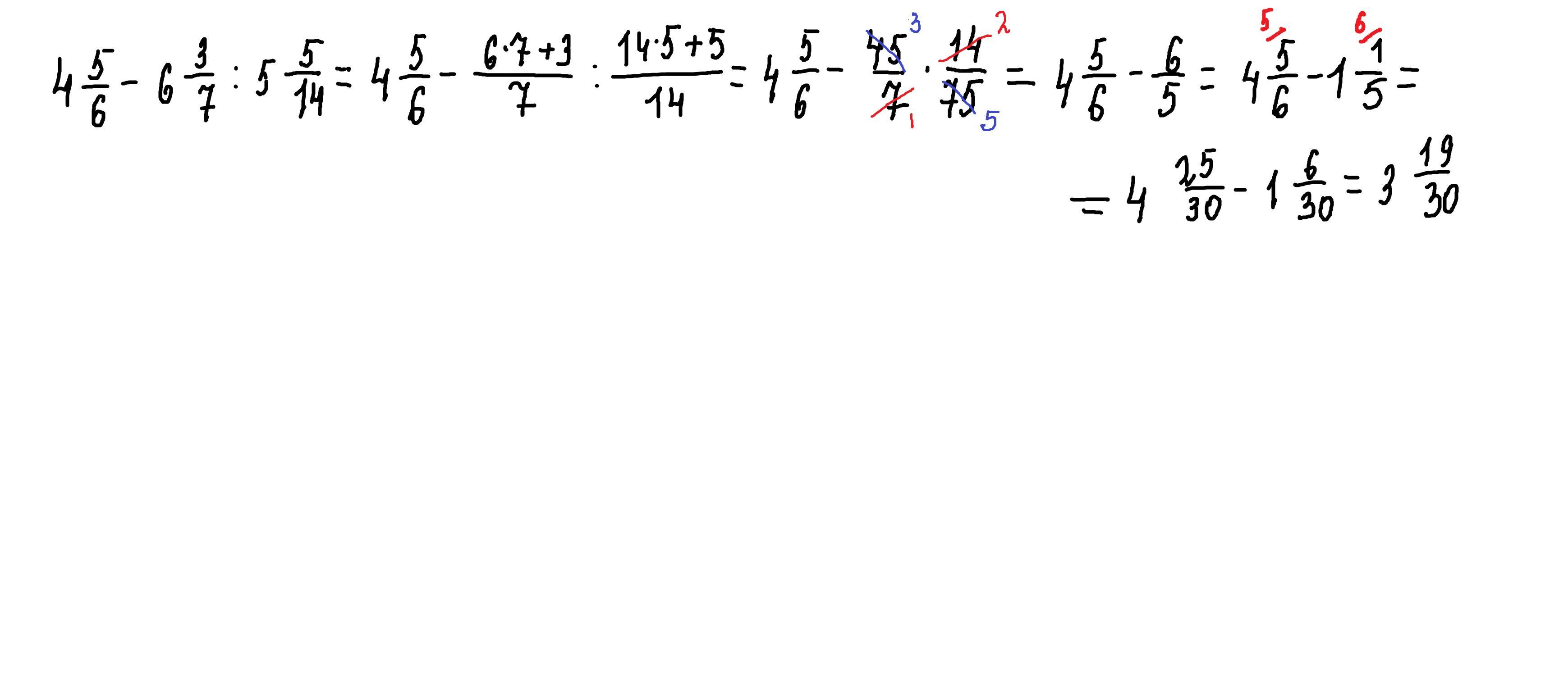
Ответ:

3 19/30

Пошаговое объяснение:

решение внизу

Приложения:
Вас заинтересует