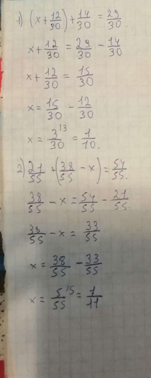
Розв’яжіть рівняння: 29 30 54 55 1) x + x + 21 55 36 63 4) x 2) 3) + 12 30 38 55 + 53 100 ▬▬ 14 30 x 5 + X 63 = ; 26 =)= 28 32 100 100 ; 63 :
Приложения:

Ответы
Ответ дал:
1
Ответ:
на фото
Пошаговое объяснение:
нужно 20 символов ,простите
Приложения:


Вас заинтересует
1 год назад
1 год назад
1 год назад
3 года назад
3 года назад