• Предмет: Алгебра
  • Автор: tahtyan2013
  • Вопрос задан 10 лет назад

помогите!!!! плиз!!!

Приложения:

Ответы

Ответ дал: dasha00000000000
0
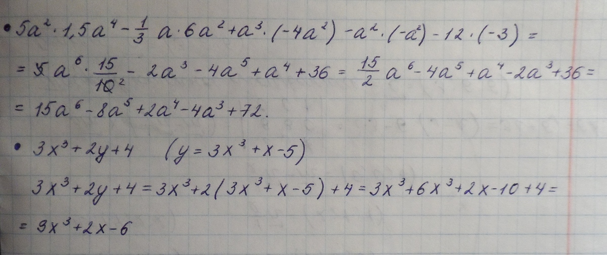
Решение прикреплено файлом!
Приложения:
Вас заинтересует