• Предмет: Алгебра
  • Автор: nastymi33
  • Вопрос задан 2 года назад

Написать решение примери

Приложения:

Ответы

Ответ дал: ludmilaksenija2005
0

Объяснение:

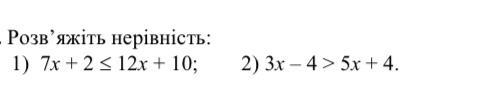
1)

7х+2≤12х+10

7х-12х≤10-2

-5х≤8

х≥8:(-5)

х≥ -1,6

х∈[-1,6;+∞)

2)

3х-4>5х+4

3х-5х>4+4

-2х>8

х<8:(-2)

х< -4

х∈(-∞;-4)

Вас заинтересует