• Предмет: Алгебра
  • Автор: Lyoshkka
  • Вопрос задан 2 года назад

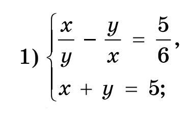
Решите систему уравнения, без MathWay и прочих программ. Задание на картинке! Пошагово!

Приложения:

Lyoshkka: tetamotatetyamotya, там еще 3 примера надо будет решить в моем профиле, там увидите где 4 таких примера, решите пожалуйста, очень прошу, учитель ждет, а вы очень хорошо соображаете в математике

Ответы

Ответ дал: tetamotatetyamotya
1

Ответ:вот

Объяснение:

Приложения:

Lyoshkka: В профиле еще 3 примера таких, в одном задании сразу второй вопрос, помогите пожалуйста. БОЛЬШОЕ СПАСИБО ВАМ !!!! ОДНОЗНАЧНО 5 ЗВЕЗД И СПАСИБО
Lyoshkka: tetamotatetyamotya, там еще 3 примера надо будет решить в моем профиле, там увидите где 4 таких примера, решите пожалуйста, очень прошу, учитель ждет, а вы очень хорошо соображаете в математике
Lyoshkka: tetamotatetyamotya, там еще 3 примера надо будет решить в моем профиле, там увидите где 4 таких примера, решите пожалуйста, очень прошу, учитель ждет, а вы очень хорошо соображаете в математике\
Lyoshkka: tetamotatetyamotya, там еще 3 примера надо будет решить в моем профиле, там увидите где 4 таких примера, решите пожалуйста, очень прошу, учитель ждет, а вы очень хорошо соображаете в математике 123
Вас заинтересует