• Предмет: Математика
  • Автор: manujlenkomaksim97
  • Вопрос задан 2 года назад

Помогите пожалуйста на фото даю 20 балов

Приложения:

Ответы

Ответ дал: dedinsade022
1

Ответ:

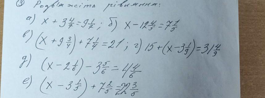
x+3 4/7 = 9 1/7

X= 9 1/7 - 3 4/7

x= 5 4/7

x-12 4/5 = 7 1/5

x= 7 1/5+ 12 4/5

x= 20

(x+9 3/4) + 7 1/4 = 21

x+ 9 3/4= 21- 7 1/4

x+9 3/4= 13 3/4

x= 13 3/4 - 9 3/4

x= 4

15 + (x-3 1/9) = 31 4/9

x- 3 1/9= 31 4/9 - 15

x - 3 1/9= 16 4/9

x= 16 4/9 + 3 1/9

x= 19 5/9

(x-2 1/6) - 3 5/6= 4 4/6

x - 2 1/6 = 4 4/6 + 3 5/6

x- 2 1/6 = 8 3/6

x= 8 3/6 + 2 1/6

x= 10 4/6 (сокращаем на 2)

x= 10 2/3

(x-3 1/5) + 7 2/5 = 22 3/5

x - 3 1/5= 22 3/5 - 7 2/5

x - 3 1/5= 15 1/5

x= 15 1/5 + 3 1/5

x= 18 2/5


dedinsade022: все верно
dedinsade022: пожалуйста лучший ответ
Вас заинтересует