• Предмет: Математика
  • Автор: bh92d4qfg5
  • Вопрос задан 2 года назад

ИДЗ нужно решить вариант

Приложения:

Ответы

Ответ дал: katyabac39
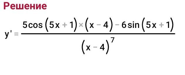
1

Ответ:

1) а б в✔✔✔

2)✔

3)✔

4)✖

Пошаговое объяснение:

надеюсь помогла

Приложения:
Вас заинтересует