Ответы
Ответ дал:
1
Ответ:
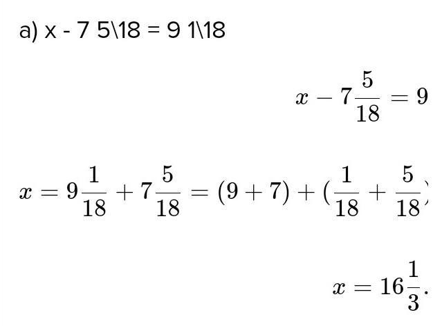
Відповідь:. х= 16 1/3 лсьсл
Приложения:

Oksana19740:
неправильно 9 1/8, ты посчитал 9 1/18
Ответ дал:
2
Ответ:
16 29/72
Пошаговое объяснение:
х- 7 5/18= 9 1/8
х= 9 1/8+7 5/18 привести к общему знаменателю 72
х= (9+7)+ (9/72+20/72)
х= 16 29/72
Вас заинтересует
1 год назад
1 год назад
1 год назад
3 года назад
3 года назад
8 лет назад