• Предмет: Математика
  • Автор: ajzirekabylbaeva
  • Вопрос задан 2 года назад

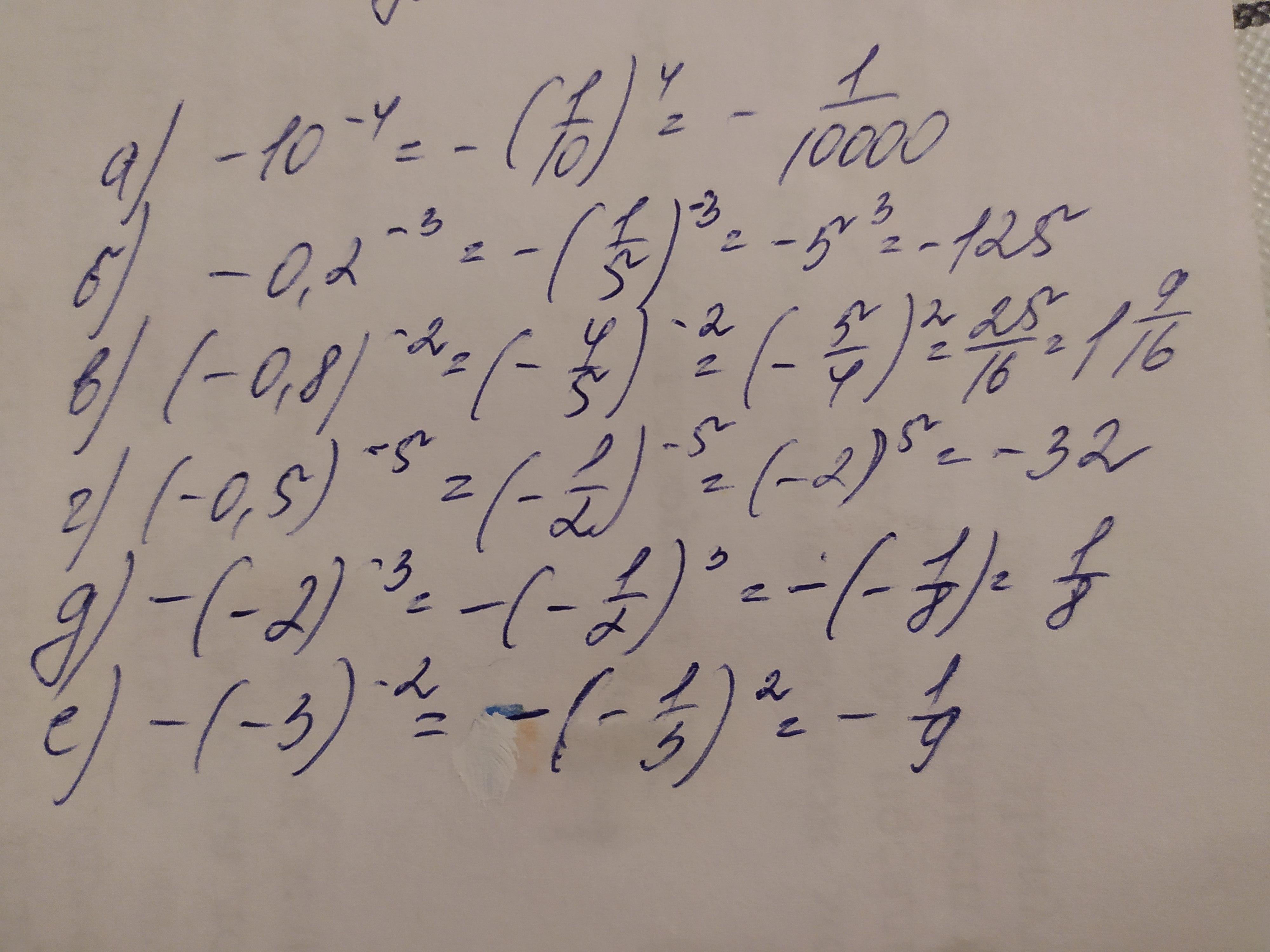
Найдите значения выражения

Приложения:

Ответы

Ответ дал: tatsach
2

Ответ:

Пошаговое объяснение:

Приложения:
Вас заинтересует