• Предмет: Алгебра
  • Автор: greka3456
  • Вопрос задан 2 года назад

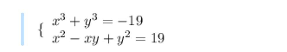
Найти развязки системы уравнений:
На фото
Плизз дам 80 баллов

Приложения:

aarr04594: Якщо перше рівняння розділити на друге, то отримаємо рівняння х+у=-1. Тоді якщо у=-х-1, то підстановкой у друге рівняння, отримаємо рівняння з однією невідомою.
aarr04594: х²-х(-х-1)+(-х-1)²=19,
aarr04594: х²+х²+х+х²+2х+1=19
aarr04594: 3х²+3х-18=0, х²+х-6=0, х1=2, х2=-3, тоді у1=-3, у2=2. Відповідь: (2;-3), (-3; 2)

Ответы

Ответ дал: NNNLLL54
0

Ответ:

Применяем формулу куба суммы :  \bf a^3+b^3=(a+b)(a^2-ab+b^2)  .

\left\{\begin{array}{l}\bf x^3+y^3=-19\\\bf x^2-xy+y^2=19\end{array}\right\ \ \left\{\begin{array}{l}\bf (x+y)(x^2-xy+y^2)=-19\\\bf x^2-xy+y^2=19\end{array}\right\\\\\\\left\{\begin{array}{l}\bf (x+y)\cdot 19=-19\\\bf x^2-xy+y^2=19\end{array}\right\ \ \left\{\begin{array}{l}\bf x+y=-1\\\bf x^2-xy+y^2=19\end{array}\right\ \ \left\{\begin{array}{l}\bf y=-x-1=-(x+1)\\\bf x^2+x(x+1)+(x+1)^2=19\end{array}\right

\left\{\begin{array}{l}\bf y=-(x+1)\\\bf x^2+x^2+x+x^2+2x+1=19\end{array}\right\ \ \left\{\begin{array}{l}\bf y=-(x+1)\\\bf 3x^2+3-18=0\end{array}\right  

\bf 3x^2+3x-18=0\ \ \ \Rightarrow \ \ \ x^2+x-6=0\ \ ,\ \ x_1=-3\ ,\ x_2=2\ \ (Viet)  

\bf y_x=-(-3+1)=2\ \ ,\ \ y_2=-(2+1)=-3\\\\Otvet:\ \ (-3\ ;\ 2\ )\ ,\ (\ 2\ ;-3\ )\ .    

Вас заинтересует