• Предмет: Алгебра
  • Автор: margarita20180909
  • Вопрос задан 2 года назад

Помогите пожалуйста,я не могу решить

Приложения:

Ответы

Ответ дал: parus77
0

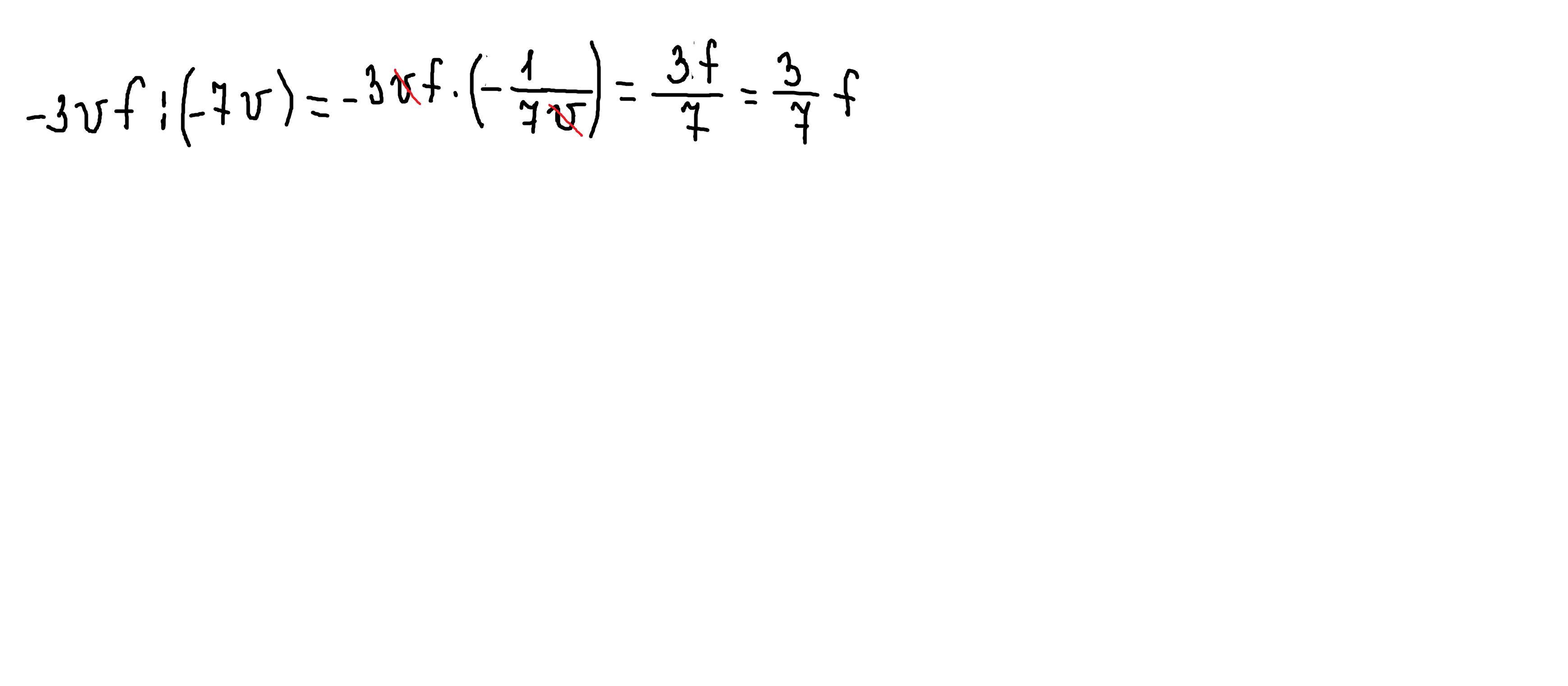
Ответ:

3/7 f

Объяснение:

решение внизу

Приложения:
Вас заинтересует