• Предмет: Алгебра
  • Автор: karinakriger676
  • Вопрос задан 2 года назад

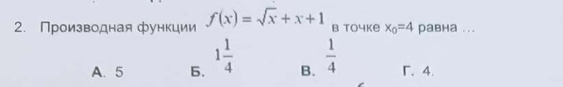
производная функции f(x)=
 \sqrt{x}  \times + x  + 1

Приложения:

Ответы

Ответ дал: Ergbertgb
1

Ответ:

(1/8)*sqrt(4)+1

Объяснение:

f'(x)=1/(2*sqrt(x))+1

f'(4)=(1/8)*sqrt(4)+1


karinakriger676: помоги пожалуйста с остальными
Вас заинтересует