• Предмет: Математика
  • Автор: olya78289
  • Вопрос задан 2 года назад

будь ласка допоможіть

Приложения:

Ответы

Ответ дал: ivanvoinarski9
0

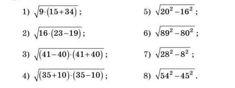
Ответ:

1) 21

2) 8

3) 9

4) 15\sqrt{5}

5) 12

6) 39

7) 12\sqrt{5}

8) 9\sqrt{11}

оцени меня пожалуйста)

Вас заинтересует