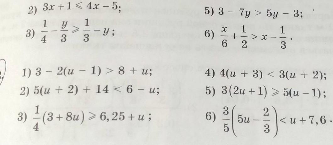
952, 1) 3 - 2(u - 1) > 8 + u; 2) 5(u + 2) + 14 < 6 - u; 3) 1 (3 +8u) > 6,25+u ; 4 4) 4(u + 3) < 3(u + 2); 5) 3 (2u+1) > 5(u-1);
помогиье пожалуйста сроно
Приложения:

Ответы
Ответ дал:
2
Ответ:1) 3-2u+2 > 8+u-2u-u > 8-3-2-3u > 3u<-12) 5u+10+14 < 6-u5u+u < 6-10-146u < -18u < -33) 0.75+2u > 6.25+u2u-u > 6.25-0.75u > 5.5
Сорри если неправильно
hydralukeg:
а 4 5 6
Вас заинтересует
1 год назад
1 год назад
1 год назад
1 год назад