• Предмет: Математика
  • Автор: Аноним
  • Вопрос задан 2 года назад

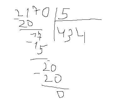
помогите пожалуйста решить пример 2170:5 у столбик​

Ответы

Ответ дал: SlavaZSU
0

Ответ:

Пошаговое объяснение:

Весь ответ был дан в скриншоте

Приложения:
Ответ дал: a25866
0

Ответ:

434

2170:5= 434

Пошаговое объяснение:

легко и просто

Приложения:
Вас заинтересует