• Предмет: Математика
  • Автор: bobikkkk1
  • Вопрос задан 2 года назад

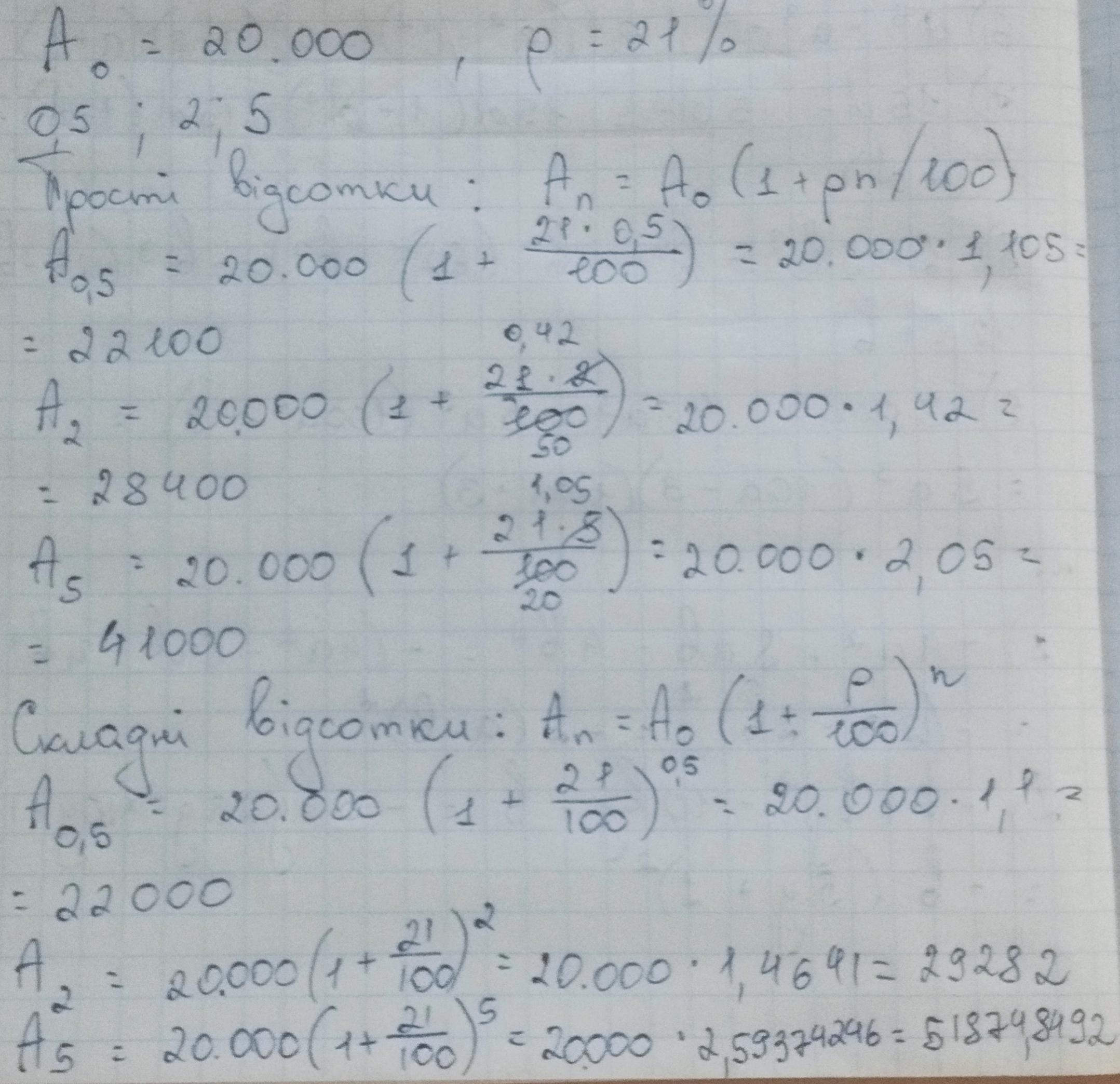
Допоможіть порахувати, це вища математика

Приложения:

Ответы

Ответ дал: alekcalos8
2

Ответ: Відповіді на фото

Пошаговое объяснение:

Приложения:
Вас заинтересует