Ответы
Ответ дал:
0
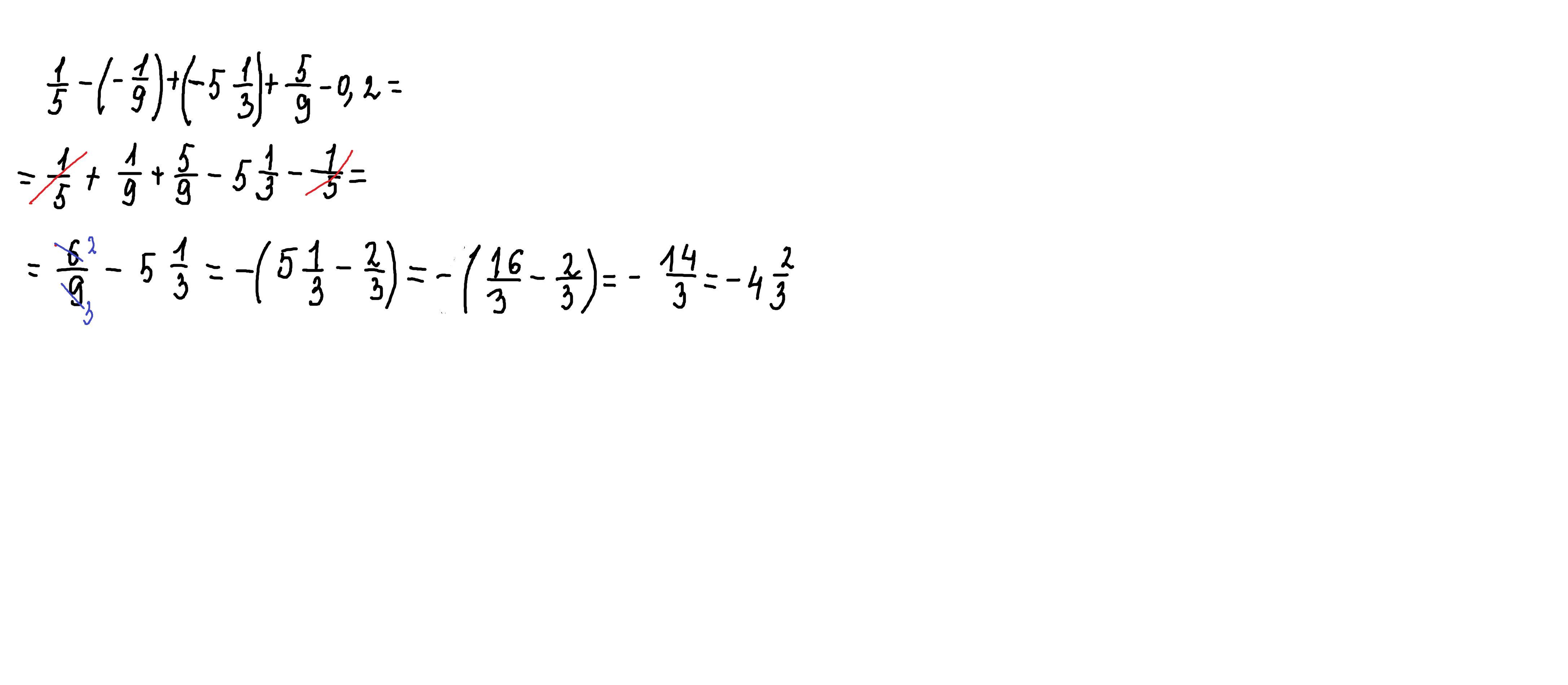
Ответ:
-14 2/3
Пошаговое объяснение:
0,2= 2/10=1/5 сумма противоположных чисел 1/5 и -1/5 равна 0
Приложения:

Вас заинтересует
1 год назад
1 год назад
1 год назад
1 год назад
3 года назад
3 года назад
8 лет назад