• Предмет: Алгебра
  • Автор: klevtsovayulia89
  • Вопрос задан 2 года назад

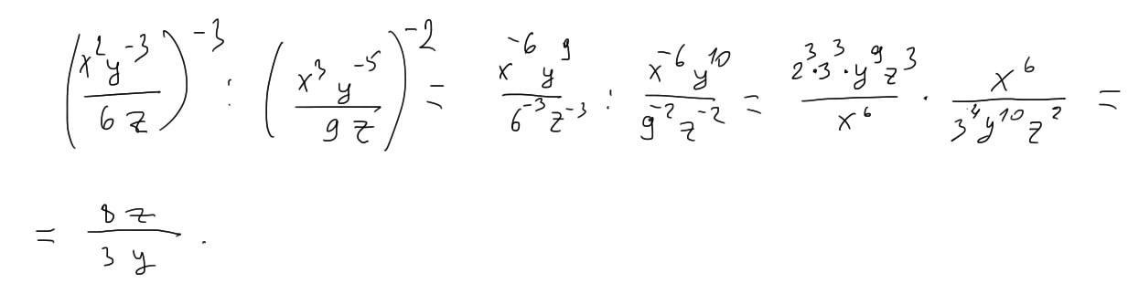
ДОПОМОЖІТЬ СПРОСТИТИ ВИРАЗ

Приложения:

Ответы

Ответ дал: Warlock1
1

Ответ:

типа того

Объяснение:

Приложения:
Вас заинтересует