• Предмет: Алгебра
  • Автор: vlaskorshevenuk10
  • Вопрос задан 2 года назад

ОЧЕНЬ ПРОШУ ЗДЕЛАЙТЕ ПЖ ДАЮ 100 БАЛОВ СРОЧНО НУЖНО ПЖ​

Приложения:

Ответы

Ответ дал: Universalka
1

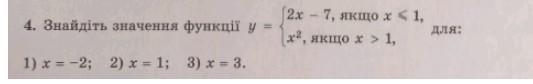
\displaystyle\bf\\y=\left \{ {{2x-7 \  \ , \  \ x\leq 1} \atop {x^{2}  \  \ , \  \ x > 1}} \right. \\\\\\1)\\\\x=-2 \  \ , \ \ -2\leq 1 \  \  \ \Rightarrow \  \  \ y=2\cdot(-2)-7=-4-7=-11\\\\\boxed{y=-11}\\\\2)\\\\x=1 \  \  \ , \  \  \ 1\leq 1 \  \  \ \Rightarrow \  \  \ y=2\cdot 1-7=2-7=-5\\\\\boxed{y=-5}\\\\3)\\\\x=3 \  \  \ , \  \  \ 3 > 1 \  \  \ \Rightarrow \  \  \ y=3^{2} =9\\\\\boxed{y=9}


vlaskorshevenuk10: спасибо большое
Universalka: Пожалуйста
Вас заинтересует