• Предмет: Физика
  • Автор: IzartShow
  • Вопрос задан 2 года назад

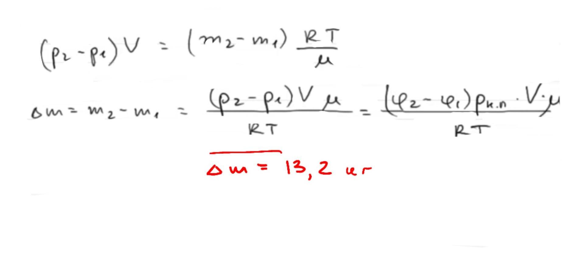
сколько надо испарить воды в 5000 м кубических воздуха, относительная влажность которого 60% при 20 градусах C, чтобы увлажнить его до 70%?
срочно надо.с интернета не брать,жалобу кину.Даю 50 б

Ответы

Ответ дал: lazurbluri
0

Объяснение:

не уверен но вроде так решается

Приложения:
Вас заинтересует