• Предмет: Математика
  • Автор: oleskoviktoria85
  • Вопрос задан 2 года назад

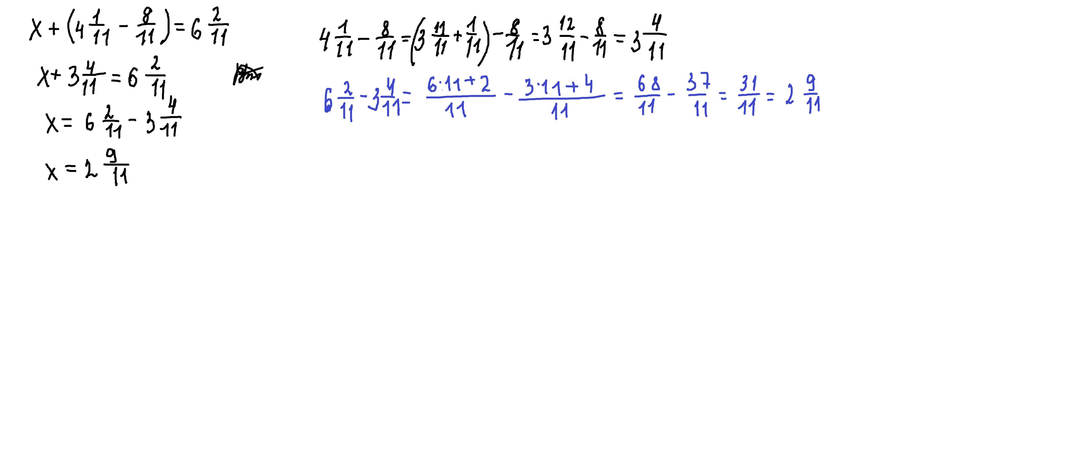
Розвяжіть рівняя х+(4 1/11-8/11)=6 2/11
срочно очень нужно!!!!

Ответы

Ответ дал: parus77
1

Ответ:

2 9/11

Пошаговое объяснение:

решение внизу

Приложения:

so2bahila100: я з самого початку не так зрозумів рівняння, ви праві
Вас заинтересует