Ответы
Ответ дал:
0
Ответ:
Вот.
Пошаговое объяснение:
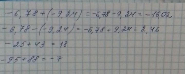
-6,78+(-9,24)<-6,78-(9,24)
-25+43>-95+88
Приложения:

Вас заинтересует
1 год назад
1 год назад
3 года назад
3 года назад