• Предмет: Алгебра
  • Автор: klimenko36857l
  • Вопрос задан 2 года назад

Помоги пожалуйста....

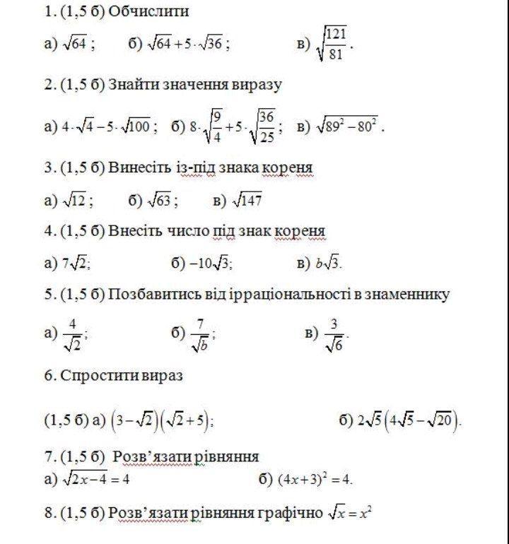
Приложения:

Ответы

Ответ дал: suhorukovazlata157
0

Ответ:

а.2√3 б.3√7 в.7√3

Объяснение:

с остальным не могу помочь

Вас заинтересует