• Предмет: Алгебра
  • Автор: kirilleomay417
  • Вопрос задан 2 года назад

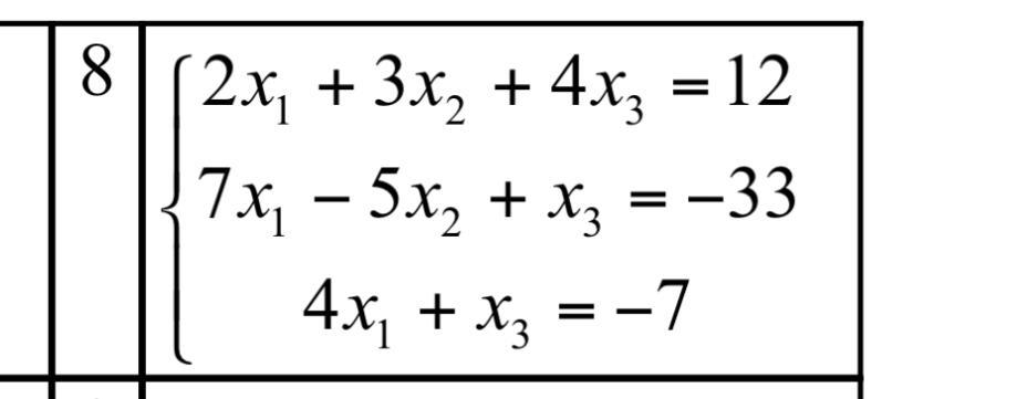
Допоможіть будь луска з алгеброю!!!

Приложения:

Ответы

Ответ дал: danyamitrofanov07
0

x1= -184   x2=84 x3=112a

Пояснення:

wd adawd

Вас заинтересует