• Предмет: Математика
  • Автор: bogdangorkavuy
  • Вопрос задан 2 года назад

помогите пожалуйста ​

Приложения:

Ответы

Ответ дал: Geographist
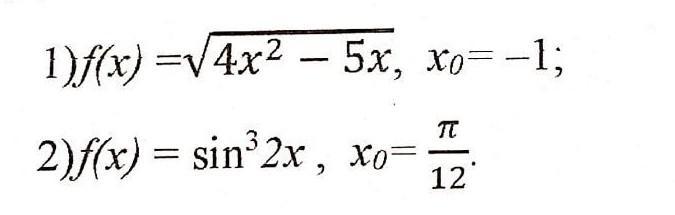
1

Ответ:

1) 3

2) 0.125

Пошаговое объяснение:

1) Подставим x = - 1 в функцию

f(-1) = sqrt(4*1 + 5) = sqrt(9) = 3

sqrt - квадратный корень

2) Подставим П/12 в функцию

f(П/12) = sin^3 (П/6) = (0.5)^3 = 0.125

Вас заинтересует