• Предмет: Алгебра
  • Автор: skromnijruslan15
  • Вопрос задан 2 года назад

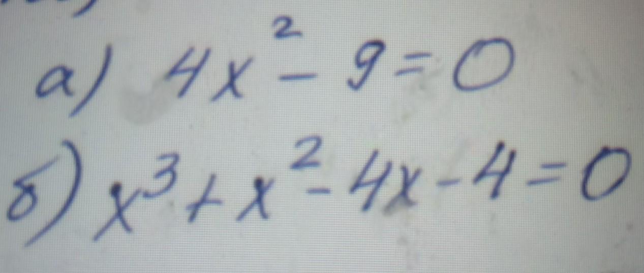
роз'язжіть рівняння.
пожалуйста быстро надо​

Приложения:

Ответы

Ответ дал: porshe7777
0
****
Помощь от Бадалян Оксаны
Приложения:
Вас заинтересует