Ответы
Ответ дал:
0
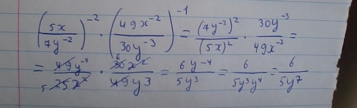
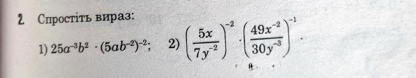
Відповідь:
на фото
Покрокове пояснення:
на фото
Приложения:


Вас заинтересует
1 год назад
1 год назад
1 год назад
3 года назад
3 года назад
8 лет назад