• Предмет: Математика
  • Автор: VariaCHEBURASHKA
  • Вопрос задан 2 года назад

Помогите пожалуйста фото

Приложения:

Ответы

Ответ дал: tatsach
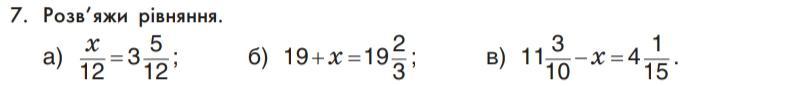
1

Ответ:

Пошаговое объяснение:

а) х=3 5/12*12

х=41/12*12

х=41

б) х=19 2/3-19

Х=2/3...

в) х=11 3/10-4 1/15

х=11 9/30-4 2/30

х=7 7/30.........


VariaCHEBURASHKA: Привет спасибо большое всё хорошо только есть вопрос,а 2/ это по типу 2/1 или что?
VariaCHEBURASHKA: А хотя я уже поняла
Вас заинтересует