Ответы
Ответ дал:
1
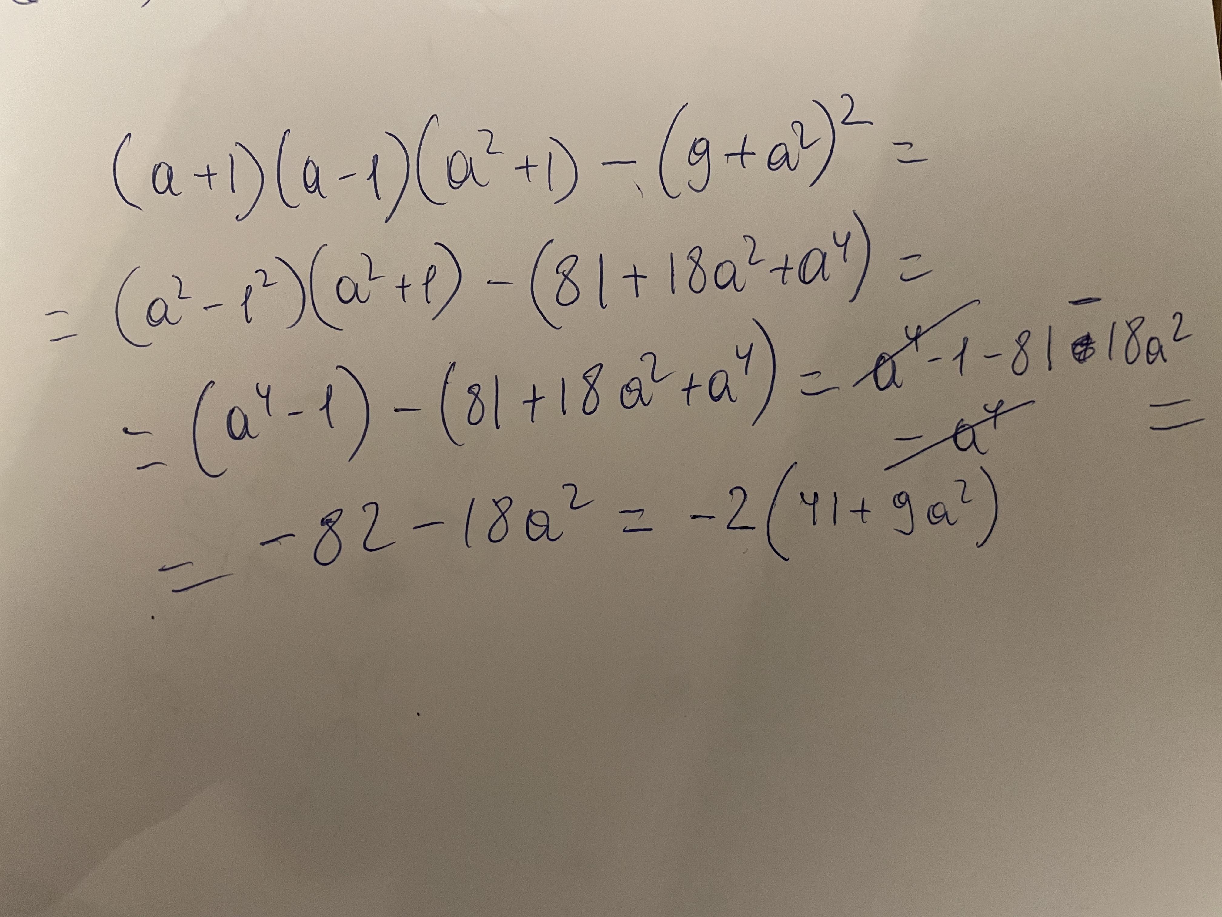
Ответ:Проверь фото
Объяснение:
Приложения:

Ответ дал:
1
Объяснение:
Здесь усползвается формула:
(a+b)²=(a²+2×a×b+b²)
(a-b)²=(a²-2×a×b+b²)
Приложения:

Вас заинтересует
1 год назад
1 год назад
1 год назад
3 года назад
3 года назад