• Предмет: Математика
  • Автор: Аноним
  • Вопрос задан 2 года назад

Допоможіть будь ласочка!!!
Терміново дам 50 балів!!!)))

Приложения:

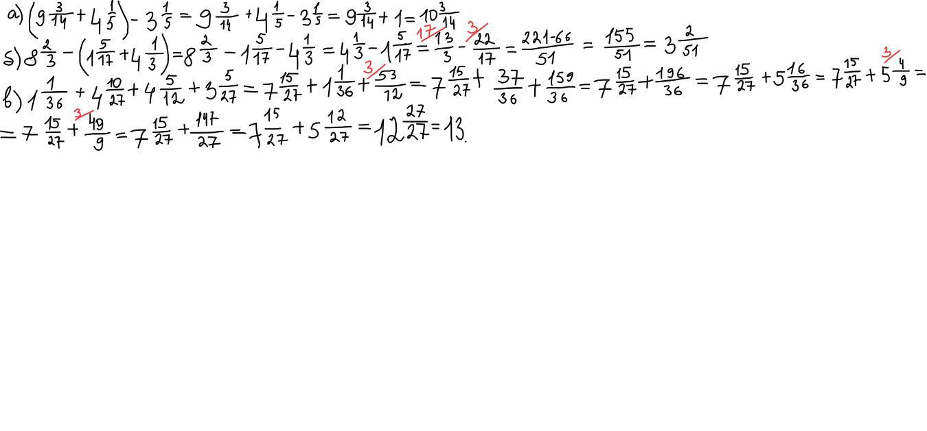
qxtewic: А)143/4;в)13;б)155/51

Ответы

Ответ дал: abcdefghigg
1

Відповідь:

відповідь та пояснення дивись на фото

Покрокове пояснення:

Приложения:

Аноним: ВЕЛИЧЕЗНЕ ДЯКУЮ!!!!
Вас заинтересует