Ответы
Ответ дал:
0
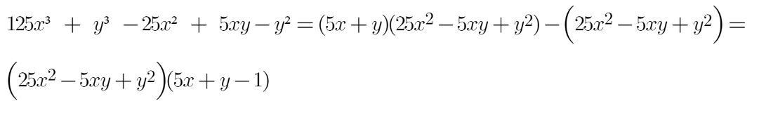
(5x+y+1)(25x^2-5xy+y^2)
Приложения:

Вас заинтересует
1 год назад
1 год назад
3 года назад
3 года назад
8 лет назад