• Предмет: Алгебра
  • Автор: Аноним
  • Вопрос задан 2 года назад

здравствуйте помогите пожалуйста даю 100 баллов пожалуйста фото нужно развернуть ​

Приложения:

Fellowship: Используй photomath

Ответы

Ответ дал: volna7
0

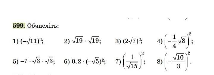
Відповідь:

1) 11

2) 19

3) 28

4) 1/2

5) -21

6) 1

7) 1/15

8) 10/9 = 1 1/9

Пояснення:

1) ( - √11 )² = 11

За умови возведення квадратного корня у квадрат, рівняння дорівнює числу, що знаходиться під корнем.

При возведенні у квадрат негативного числа отримаємо позитивний результат ( мінус на мінус дає плюс ).

2) √19 × √19 = ( √19 )² = 19

Множення двох однакових чисел рівнозначно возведенню у квадрат.

3) ( 2 × √7 )² = 2² × ( √7 )² = 4 × 7 = 28

Два множники, що возводяться у квадрат дорівнюють результату множення квадратів цих множників.

4) ( - 1/4 × √8 )² = ( - 1/4 )² × ( √8 )² = 1/16 × 8 = 1/2

5) -7 × √3 × √3 = -7 × ( √3 )² = -7 × 3 = -21

6) 0,2 × ( - √5 )² = 0,2 × 5 = 1

7) ( 1/√15 )² = 1 / ( √15 )² = 1/15

Два числа, що діляться одне на одне та возводяться у квадрат дорівнюють результату ділення квадратів цих чисел.

8) ( - √10 / 3 )² = ( - √10 )² / 3² = 10/9 = 1 1/9

Вас заинтересует