• Предмет: Алгебра
  • Автор: elviradzybenko1
  • Вопрос задан 2 года назад

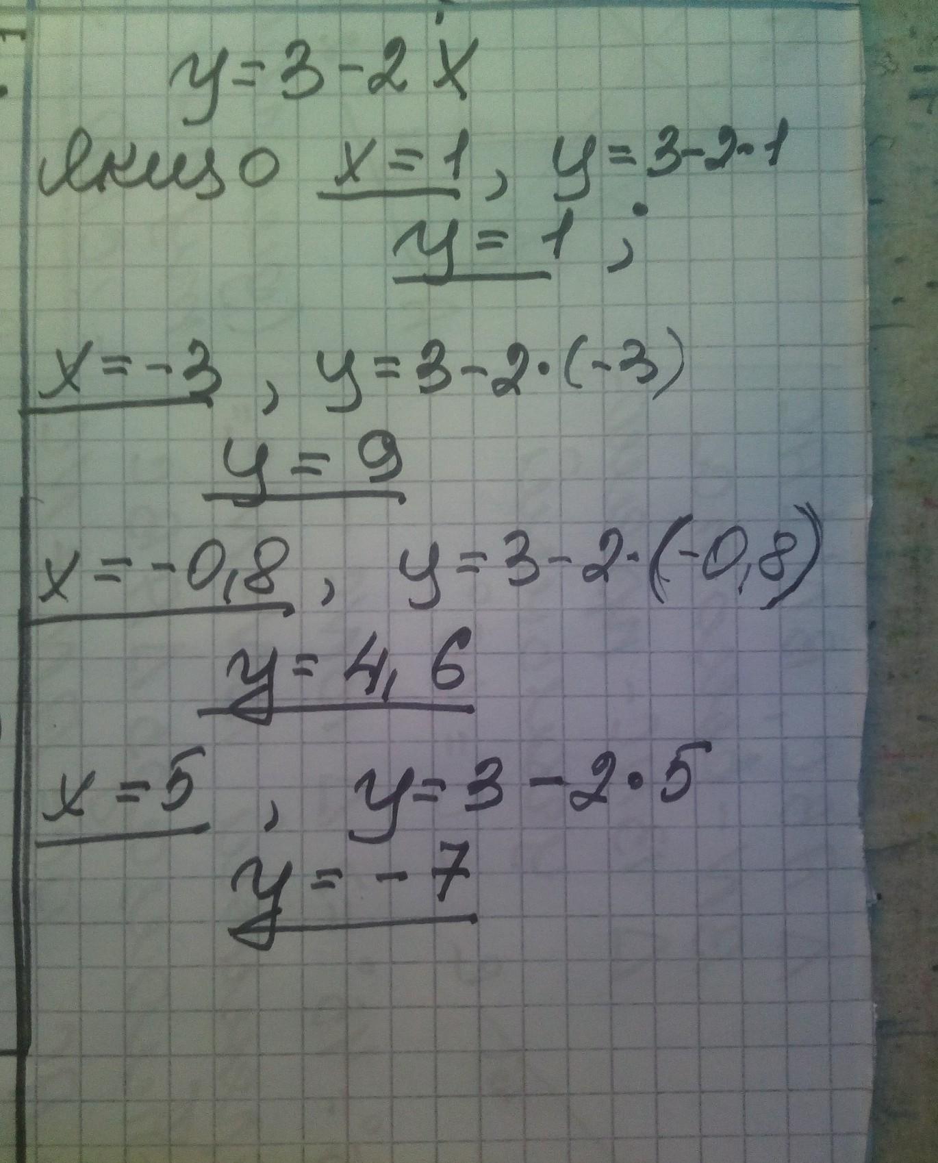
No 1 функцию задано формулою у = 3 - 2х. Знайдіть значення у, якщо x=1; x=-3; x=-0,8; x=5.​

Ответы

Ответ дал: manyny06
1

Ответ:

решение смотри на фотографии

Приложения:

elviradzybenko1: спасибооо
Вас заинтересует