• Предмет: Алгебра
  • Автор: dmitro1234188
  • Вопрос задан 2 года назад

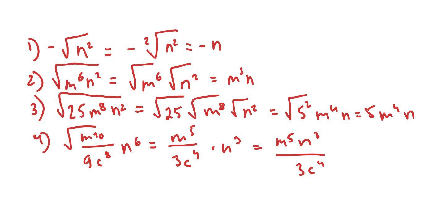
спростити вирази. Дуже потрібно​

Приложения:

Ответы

Ответ дал: broomspun1
1

Ответ:

можно лучший ответ пж (коронку)

Объяснение:

Приложения:

dmitro1234188: с модулями нужно
dmitro1234188: пожалуйста
Вас заинтересует