• Предмет: Математика
  • Автор: agashirinovazara
  • Вопрос задан 2 года назад

пожалуста помогите очень срочноооооо пожалустааааа ​

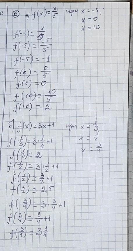
Приложения:

Ответы

Ответ дал: tetamotatetyamotya
1

Ответ:

вот решение

Пошаговое объяснение:

решение ниже

Приложения:

agashirinovazara: спасибо большое
tetamotatetyamotya: на здоровье
Вас заинтересует