• Предмет: Алгебра
  • Автор: Аноним
  • Вопрос задан 2 года назад

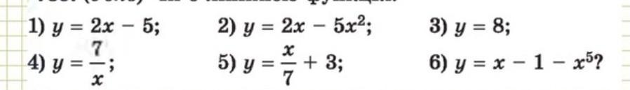
чи є лінійною функція ​

Приложения:

Ответы

Ответ дал: mykhailodvali
0

Відповідь:

1 так

2 ні

3 так

4 ні

5 ні

6 ні

Пояснення: лінійна функція має вигляд k * x + n

Вас заинтересует