• Предмет: Алгебра
  • Автор: Аноним
  • Вопрос задан 2 года назад

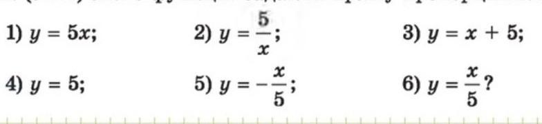
які з функцій задають пряму пропорційність і чому ​

Приложения:

Ответы

Ответ дал: parus77
0

Ответ:

Объяснение: у=kx    общий вид прямой пропорциональности

1) у=5х    прямая пропорциональность , проходит через начало координат    k=5

5) у= - х/5= -1/5 *х    прямая пропорциональность , проходит через начало координат    k= - 1/5

6) у= х/5= 1/5 *х     прямая пропорциональность,  проходит через начало координат    k= 1/5

Приложения:

Мозгокошка: Доброго времени суток!Можете пожалуйста помочь с алгеброй/физикой или биологией.Задания в моем профиле.Если у Вас есть время/возможность/желание/силы,то пожалуйста помогите или хотя бы посмотрите задания.Буду благодарна Вашей помощи.В любом случае спасибо за Ваше внимание и хорошего дня
parus77: Доброй ночи.Расписывать тригонометрию ,(тем более столько примеров)в Paint неудобно,набирать на клавиатуре тоже.много переключений надо делать(или как это у вас называется),а чтобы писать на бумаге-комп не фоткает.Так что извините.А физику и биологию я уже не помню,это было более 40 лет назад.
Мозгокошка: Ничего.В любом случае,спасибо Вам за ответ
Вас заинтересует