• Предмет: Алгебра
  • Автор: katerinaboronuk
  • Вопрос задан 2 года назад

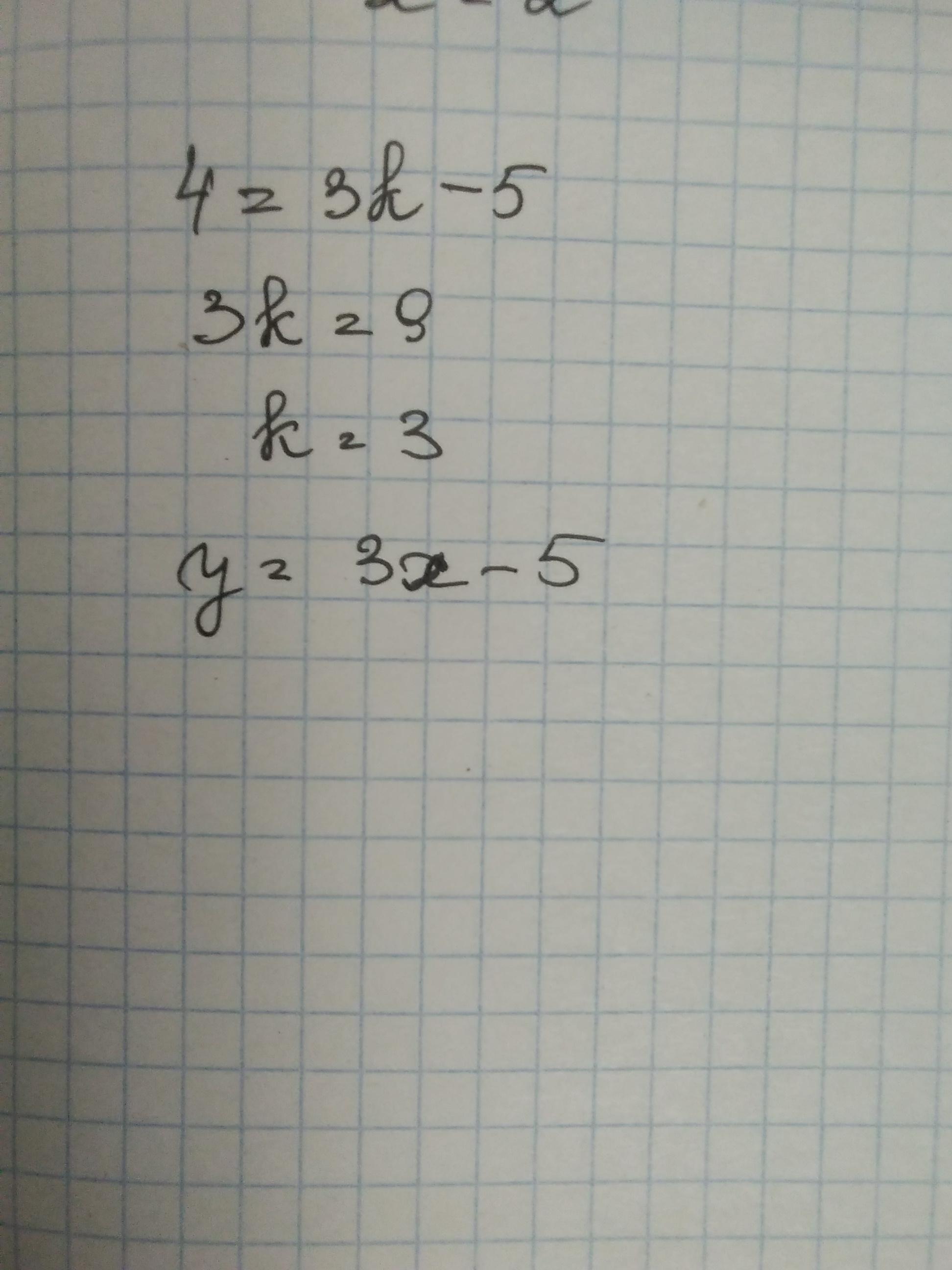
При якому значенні к графік функції у = х -5 проходить через точку
з координатами (3;4?)?


MizoriesKun: У вас нет k в уравнение функции
MizoriesKun: у = kх -5

Ответы

Ответ дал: MizoriesKun
1

Смотри.....................

Приложения:
Вас заинтересует